******fun88乐天使·(中国)集团

欢迎来到桂林航天工业学院fun88乐天使!

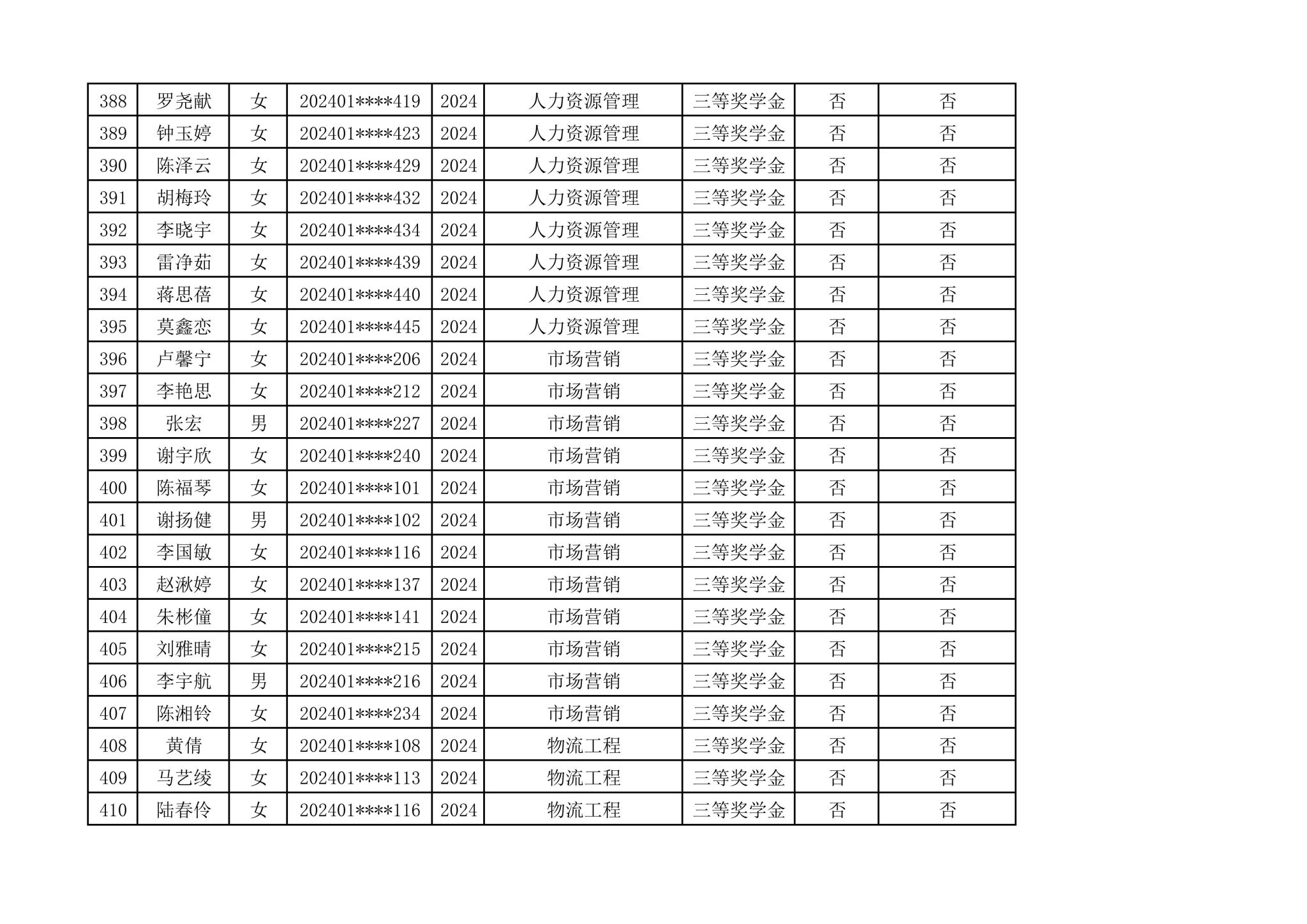
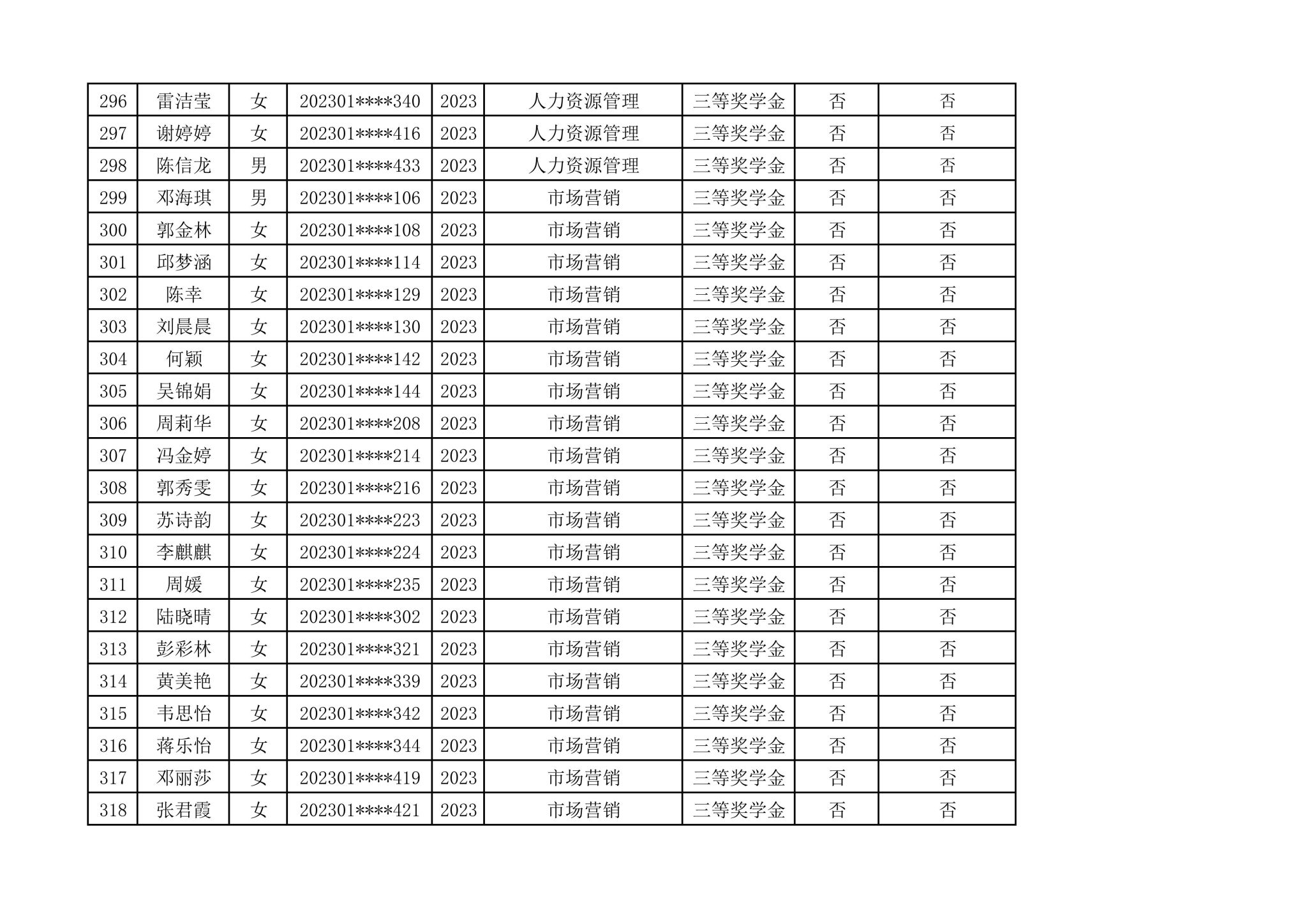
2024-2025年校内学习优秀奖学金fun88乐天使

2025年09月23日 16:38 jln 点击:[]

fun88乐天使

fun88乐天使

fun88乐天使

fun88乐天使

fun88乐天使

fun88乐天使

fun88乐天使

fun88乐天使

fun88乐天使

fun88乐天使

fun88乐天使

fun88乐天使

fun88乐天使

fun88乐天使

fun88乐天使

fun88乐天使

fun88乐天使

fun88乐天使

fun88乐天使

fun88乐天使

fun88乐天使

fun88乐天使

fun88乐天使

fun88乐天使

fun88乐天使

fun88乐天使

fun88乐天使

上一条:2024-2025年先进班集体fun88乐天使拟推荐名单公示 下一条:2024-2025学年fun88乐天使拟推荐参加国家奖学金第一轮评选人选公示

关闭